Die Kapitalwertmethode einfach erklärt
Ab- und Zuflüsse von Geldern in unterschiedlichen Berechnungsperioden lassen sich nicht ohne Weiteres vergleichen. Warum das so ist und wie Sie den Zeitwert des Geldes im Rahmen der Investitionsplanung ermitteln, ist Thema dieses Artikels zur Kapitalwertmethode.
Was ist die Kapitalwertmethode?
Bei der Kapitalwertmethode handelt es sich um eine Rechenoperation, die als Verfahren der dynamischen Investitionsrechnung zur Anwendung kommt, um Investitionen und Geschäftsmodelle hinsichtlich ihrer Wirtschaftlichkeit zu prüfen. Der Kapitalwertmethode liegt die Vorannahme zugrunde, dass Ein- und Auszahlungen heute mehr wert sind als zu späteren Zeitpunkten. Der Wert einer späteren Zahlung zum heutigen Zeitpunkt wird Kapitalwert (auch Netto-Barwert; englisch: Net Present Value, NPV) genannt.
Dazu eine Beispielrechnung des Kapitalwerts:
Stellen Sie sich vor, Sie leihen einer Geschäftspartnerin 10.000 Euro und diese bietet Ihnen an, das Geld in 2 Jahren zurückzuzahlen. Diese 10.000 Euro sind in 2 Jahren weniger wert als heute, da Ihnen die Zinserträge von 2 Jahren entgehen. Um zu ermitteln, welchen Wert die geliehene Summe in zwei Jahren hätte, müssten Sie diese mit einem realistischen Kalkulationszins aufzinsen.
Um den Kapitalwert zukünftiger Zahlungen zu ermitteln, werden Investitionen im Rahmen der Kapitalwertmethode risikoarmen Bankanlagen gegenübergestellt. Eine Investition lohnt sich nur dann, wenn der Einzahlungsüberschuss der Investition – das Saldo aus Ein- und Auszahlungen (auch Cashflow genannt) – größer ist als der Ertrag, der durch die Verzinsung der Investitionssumme entsteht. Die Frage ist somit: Was ist profitabler, die Investition oder eine Bankanlage?
Die Entscheidung für eine Investition ist auch immer eine Entscheidung gegen alternative Investitionsmöglichkeiten, wodurch Verzichtskosten (auch Opportunitätskosten genannt) entstehen. Eine Investition sollte mindestens so viel Rendite abwerfen wie die beste alternative Anlagemöglichkeit.
Formel zur Berechnung des Kapitalwerts
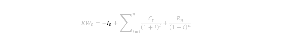
Der Kapitalwert wird im Rahmen der Kapitalwertmethode nach folgender Formel berechnet:

Dabei gilt:

Die aufgeführten Rechengrößen entsprechen folgenden Faktoren:
| Variable | Bedeutung |
|---|---|
| I0 | Investition zum Ausgangszeitpunkt (t = 0) |
| n | Laufzeit in Jahren |
| t | Zeitintervall |
| Ct | Cashflow |
| Et | Einzahlungen zum Zeitpunkt t |
| At | Auszahlung zum Zeitpunkt t |
| i | Kalkulationszinssatz in % |
| Rn | Restwert |
| KW0 | Kapitalwert |
Die Rechengrößen im Überblick
Bevor Sie die Wirtschaftlichkeit einer Investition mithilfe der Kapitalwertmethode abschätzen können, müssen Sie sicherstellen, dass Ihnen alle nötigen Informationen zu den folgenden Faktoren zur Verfügung stehen.
Nachfolgend verdeutlichen wir Ihnen, wie die jeweiligen Rechengrößen in die Formel zur Berechnung des Kapitalwerts eingehen.
Investition (I0)
Bei einer Investition handelt es sich um den Einsatz von Geschäftskapital für einen bestimmten Verwendungszweck – beispielsweise für den Erwerb einer Immobilie, für die Anschaffung von Maschinen oder für die Schulung von Mitarbeitenden. Ob eine Investition lukrativ ist, lässt sich unter anderem mit der Kapitalwertmethode abschätzen.
Da die Investitionssumme eine Auszahlung ist (ein Abfluss an Zahlungsmitteln), geht diese als negativer Wert in die Berechnung des Kapitalwerts ein.

Einzahlungen (Et), Auszahlungen (At) und Cashflow (Ct)
Eine Investition stellt eine Unternehmung dar, die in der Regel mit Ein- und Auszahlungen und einer Laufzeit verbunden ist.
Investiert beispielsweise ein Unternehmer in einen Kaugummiautomaten, muss er nicht nur die Investitionssumme für den Erwerb des Automaten und dessen Aufstellung einplanen. Auch der Unterhalt des Automaten und dessen Wartung verursachen Kosten, die als Auszahlungen in den Cashflow eingehen.
Im Gegenzug generiert der Automat Einzahlungen durch den Verkauf von Kaugummis, die sich positiv auf den Cashflow auswirken. Dieser entspricht der Differenz aus Ein- und Auszahlungen und wird für jedes Zeitintervall der betrachten Laufzeit separat berechnet.

Laufzeit (n)
Die Laufzeit einer Investition entspricht der Zeitspanne, in der diese Ein- und Auszahlungen generiert. Eine Investition für einen Kaugummiautomat, der 20 Jahre im Betrieb ist, beträgt also 20 Jahre. Um berechnen zu können, wie lukrativ eine Investition ist, muss bekannt sein, welche Cashflows in der voraussichtlichen Laufzeit anfallen. Die Laufzeit wird dafür in der Regel in Zeitintervalle von je einem Jahr unterteilt.
Zeitintervall (t)
Die Laufzeit einer Investition wird in Zeitintervalle unterteilt. Im Rahmen der Kapitalwertmethode wird der Cashflow in der Regel für jedes Jahr berechnet und abgezinst. Ein Zeitintervall entspricht dabei einer Zinsperiode.
Kalkulationszinssatz (i)
Der Zinssatz zur Abzinsung der Cashflows eines jeden Zeitintervalls wird Kalkulationszinssatz genannt. Der Kalkulationszins entspricht dem durchschnittlichen Zinssatz einer risikolosen Kapitalanlage und berücksichtigt in der Regel die Inflation. Der Kalkulationszinssatz geht als i in die Rechnung ein, um den Cashflow des jeweiligen Zeitintervalls abzuzinsen. Es ist dabei durchaus möglich, unterschiedliche Zinssätze für die verschiedenen Zinsperioden anzusetzen. Der Einfachheit halber rechnen wir nachfolgend jedoch mit einem einheitlichen Kalkulationszins.

Restwert (Rn)
Kann die Investition nach der geplanten Laufzeit gewinnbringend veräußert werden, entspricht dies einer Einzahlung (Liquidationserlös). Fällt hingegen eine kostenpflichtige Entsorgung an, entsteht ein negativer Liquidationserlös, der als Auszahlung in die Rechnung einfließt.
Auch der Restwert muss mit dem Kalkulationszinssatz abgezinst werden.

Kapitalwert (KW0)
Im Rahmen der Kapitalwertmethode zinsen Sie die Cashflows eines jeden Zeitintervalls mit dem Kalkulationszinssatz ab und ermitteln somit den Barwert eines jeden Zeitintervalls der Investitionslaufzeit. Die Summe aller Barwerte (inklusive des Barwerts des Restwerts) wird Ertragswert (EW0) genannt. Die Differenz aus Ertragswert und Investitionssumme ergibt den Kapitalwert Ihrer Investition.
KW0 entspricht dem Kapitalwert zum aktuellen Zeitpunkt (t = 0).

Beim Kapitalwert handelt es sich um den Netto-Barwert der Investition (Summe aller Barwerte minus Investitionssumme). Dieser darf nicht mit den Barwerten der jeweiligen Zinsperioden verwechselt werden.
Die Kapitalwertmethode in der Praxis – ein Rechenbeispiel
Wir verdeutlichen die Berechnung des Kapitalwerts an einem Praxisbeispiel:
Café-Betreiber Egon plant die Investition in eine neue Kaffeemaschine, die ihm ermöglicht, sein Sortiment über Filterkaffee hinaus um Kaffeespezialitäten wie Espresso, Cappuccino und Latte Macchiato zu erweitern.
Die Anschaffung der Profi-Maschine kostet den Unternehmer 8.000 Euro. Da die Kundschaft bereit ist, für Kaffeespezialitäten mehr zu bezahlen als für Filterkaffee, rechnet Egon mit zusätzlichen Einnahmen von 3.000 Euro pro Jahr. Doch der Unternehmer muss auch Ausgaben einplanen. Für die Wartung der Maschine fallen jährlich 1.000 Euro an. Ausgenommen sind die ersten beiden Jahre der Investition, in denen der Hersteller die Wartungskosten übernimmt. Zudem kalkuliert Egon, dass sich seine jährlichen Ausgaben für Zutaten um rund 1.000 Euro erhöhen werden.
Der Café-Betreiber plant die Profi-Maschine vier Jahr zu verwenden. Seine Recherchen haben ergeben, dass er die gebrauchte Maschine danach für rund 3.000 Euro abstoßen kann. Lohnt sich die Investition? Oder sollte Egon die 8.000 Euro lieber zur Bank bringen? Die wirbt derzeit mit einem Festgeldzins von 3 Prozent.
Die Kapitalwertmethode liefert Egon die Antwort. Dazu berechnet der Unternehmer zunächst die Cashflows für jedes Jahr seiner Investition.
| Einzahlung (in €) | Auszahlungen (in €) | Cashflow (in €) |
|---|---|---|
| 3.000 | 1.000 | C1 = 2.000 |
| 3.000 | 1.000 | C2 = 2.000 |
| 3.000 | 2.000 | C3 = 1.000 |
| 3.000 | 2.000 | C4 = 1.000 |
Anschließend fügt Egon die Werte für C1 bis C4 sowie die Investitionssumme (I), den Restbetrag (R) und den Kalkulationszins (i) in die Formel zur Berechnung des Kapitalwerts ein.

Das Ergebnis:

Mit 296,03 Euro erhält Egon einen positiven Kapitalwert. Die geplante Investition würde einen höheren Gewinn erwirtschaften als eine Bankanlage mit dem gewählten Kalkulationszins von 3 Prozent und wäre somit betriebswirtschaftlich sinnvoll.
Interpretation des Kapitalwerts
Ist der Ertragswert einer Investition höher als die Investitionssumme, ergibt sich ein positiver Kapitalwert (KW0 > 0). Ein positiver Kapitalwert kennzeichnet eine wirtschaftlich sinnvolle Investition. Die Investorin bzw. der Investor erhält nach Ablauf der Investitionslaufzeit nicht nur das eingesetzte Kapital zurück, sondern zusätzlich eine Verzinsung, die den angesetzten Kalkulationszins übersteigt.
Ein negativer Kapitalwert (KW0 < 0) hingegen kennzeichnet eine unwirtschaftliche Investition. In diesem Fall ist die Investitionssumme höher als der voraussichtliche Ertragswert. Die Investition wirft somit weniger Gewinn ab als eine risikofreie Bankanlage in gleicher Höhe.
Ergibt sich für eine Investition ein Kapitalwert von null (KW0 = 0), erhält die Investorin bzw. der Investor das eingesetzte Kapital zurück und zusätzlich eine Verzinsung, die dem Kalkulationszinssatz entspricht. Eine solche Investition böte weder Vor- noch Nachteile im Vergleich zu einer risikoarmen Anlage auf dem Kapitalmarkt.
Der Kalkulationszinssatz, der einen Kapitalwert von Null ergibt, wird als interner Zinsfuß bezeichnet.
| Kapitalwert | Beschreibung |
|---|---|
| KW0 > 0 | Die Investition erwirtschaftet mehr Gewinn als eine Bankanlage mit dem gewählten Kalkulationszins. |
| KW0 < 0 | Die Investition erwirtschaftet weniger Gewinn als eine Bankanlage mit dem gewählten Kalkulationszins. |
| KW0 = 0 | Die Investition erwirtschaftet lediglich den Kalkulationszins. |
Eine Investition mit einem positiven Kapitalwert gilt als wirtschaftlich sinnvoll. Stehen mehrere Investitionen zur Auswahl, gilt die Investition mit dem höchsten Kapitalwert als die beste Option. Da es sich um ein additives Verfahren handelt, lassen sich die Kapitalwerte mehrerer sich nicht ausschließender Investitionen summieren.
Der Kapitalwertmethode liegt die Annahme eines vollkommenen und vollständigen Kapitalmarktes zugrunde. Die Kalkulation erfolgt somit auf Basis folgender Vereinfachungen:
- Alle Markteilnehmenden teilen dasselbe Wissen über Marktgeschehen und Marktentwicklung (Markttransparenz).
- Kapital kann von allen Marktteilnehmenden in beliebiger Höhe zum Einheitszins (i) aufgenommen werden.
- Finanzmittel stehen allen Wirtschaftssubjekten zu denselben Konditionen zur Verfügung (die Zinsen für Geldaufnahmen und Geldanlagen sind identisch).
- Es existieren weder Steuern noch explizite oder implizite Transaktionskosten (friktionsloser Markt).
- Preise und Zinsen können von den Marktteilnehmenden nicht beeinflusst werden.
Die Kapitalwertmethode beruht somit auf einer Abstraktion des Kapitalmarktes. Die Ergebnisse lassen sich dementsprechend nur bedingt auf reale Gegebenheiten übertragen. Ob eine Investition rentabel ist, hängt im Wesentlichen davon ab, welcher Zinssatz als Kalkulationszins angesetzt wird.
Fazit: Vor- und Nachteile der Kapitalwertmethode
Bei der Kapitalwertmethode handelt es sich um eine einfache Rechenoperation, die leicht durchzuführen und einfach zu interpretieren ist. Als dynamisches Verfahren der Investitionsrechnung berücksichtigt die Kapitalwertmethode unterschiedliche Zeitabschnitte einer Investition und bildet Sachverhalte damit realistischer ab als statische Verfahren. Bei Bedarf lässt sich der Kalkulationszins je Zeitintervall über die Investitionslaufzeit hinweg anpassen. Dies ermöglicht zinsstrukturkonforme Berechnungen.
Problematisch hingegen ist die Annahme eines vollkommenen Kapitalmarktes als Basis der Berechnung, insbesondere die Gleichsetzung von Soll- und Habenzinssatz. Auch steuerliche Regelungen werden nicht erfasst. Die Kapitalwertmethode geht damit von Voraussetzungen aus, die in der Praxis so nicht vorliegen. Zudem fließen gleich an mehreren Stellen subjektive Vorannahmen in die Berechnung ein: Sowohl der Kalkulationszinssatz als auch die Höhe zukünftiger Ein- und Auszahlungen beruhen auf Prognosen und werden somit mehr oder weniger willkürlich festgelegt – oder sie erfordern einen hohen Aufwand für die Informationsbeschaffung.
Bei der Kapitalwertmethode handelt es sich somit um ein einfaches, aber fehleranfälliges Verfahren zur betriebswirtschaftlichen Einschätzung von Investitionen und Geschäftsmodellen. Verwenden Sie den errechneten Kapitalwert nie unkommentiert. Alle angesetzten Faktoren – insbesondere der Kalkulationszins – sollten stets hinterfragt und mit entsprechenden Daten belegt werden.
Bitte beachten Sie den rechtlichen Hinweis zu diesem Artikel.
